| 일 | 월 | 화 | 수 | 목 | 금 | 토 |
|---|---|---|---|---|---|---|
| 1 | ||||||
| 2 | 3 | 4 | 5 | 6 | 7 | 8 |
| 9 | 10 | 11 | 12 | 13 | 14 | 15 |
| 16 | 17 | 18 | 19 | 20 | 21 | 22 |
| 23 | 24 | 25 | 26 | 27 | 28 | 29 |
| 30 |
- visual slam
- IMAGE
- logarithm mapping
- point cloud
- PointNet++
- Docker
- 제 6장
- FeatureMatching
- 코딩테스트 공부
- 코딩 테스트
- rigid KPConv
- 백준 1253번
- 경제 공부
- OpenCV 모듈
- 논문 리뷰
- deformable KPConv
- Slam
- Raspberry Pi
- TURTLEBOT3
- exponential mapping
- 코딩테스트
- 부자 아빠 가난한 아빠
- OpenCV
- 입문 Visual SLAM
- 2 포인터 알고리즘
- C++
- PointNet
- SLAMKR
- ros2
- KPConv
- Today
- Total
꿈꾸는 개발자
입문 Visual SLAM 제 3장 공부 본문

SLAM에 대해 공부를 하려고 보니 어디서부터 진행해야될지 몰라 찾아보던 중 SLAMKR 커뮤니티 분들이 중국어 원서인 "입문 Visual SLAM 이론에서 연습까지 14 강(视觉SLAM十四讲 从理论到实践)"을 한국어로 번역 후 자료를 올려주셔서 그 책으로 공부한 내용에 대한 키워드 및 수식들을 간단하게만 정리를 진행하려고 합니다.
입문 Visual SLAM 제 3장의 링크는 다음과 같습니다.
https://docs.google.com/document/d/10gJsFWGAiNaFc5za8IJTZHU3JFYHzStvLNeLVKyrpUA/
입문 Visual SLAM 14강 (제3장)
Preface 이 문서는 중국어 원서인 “Visual SLAM 이론에서 연습까지 14 강(视觉SLAM十四讲 从理论到实践)” 책의 원저자로부터 한글 번역 허가를 받고 구글 번역기를 이용하여 작성된 문서입니다. 본
docs.google.com
- 글에 나온 수식 및 이미지의 출처는 3장입니다.
- 실습 코드에 대한 내용은 https://github.com/gaoxiang12/slambook에 나와있습니다.
- 책의 내용 중 키워드와 수식들로 정말 간단하게 키워드를 위주로 정리했습니다.
- 실습 관련 코드에서는 주석이 전부 중국어로 되어있어, 구글 번역을 이용해 한국어로 번역했습니다.
- 틀린 부분이 있거나, 보완할 점이 보이면 댓글이나 이메일로 연락주시면 바로 피드백을 반영하도록 하겠습니다.
- 본 글이 문제가 된다면 언제든지 삭제하겠습니다.
3장(3차원 공간 강체 변환)의 내용에 대한 목차
3.1 회전 행렬
3.2 연습 : Eigen
3.3 회전 벡터와 오일러 각
3.4 쿼터니언
3.5 유사, 아핀, 투영 변환
3.6 실습 : Eigen Geometry 모듈
3.7 시각적표현
3.1 회전행렬
3.1.1 점과 벡터, 좌표계
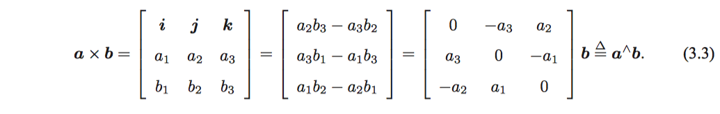
- 벡터의 내적, 외적
- 벡터의 내적

- 벡터의 외적

외적의 경우 반대칭 기호 ^를 사용해 반대칭행렬을 만들 수 있다.
- 벡터의 내적
3.1.2 좌표계 간의 유클리드 변환
- SO(n)
- n 차원 공간의 회전 행렬로 구성

-
- 회전행렬에 대한 설명
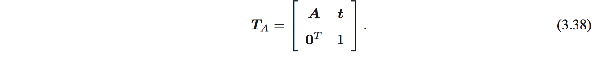
3.1.3 변환 행렬 및 동질 좌표
- SE(3)
- 변환행렬에 대한 설명

3.2 연습 : Eigen
책에서는 코드에 대한 설명은 주석에 자세하게 나와있다고 함.(그러나 주석이 중국어이기에 구글 번역으로 한국어로 변환한 코드를 올립니다.)
#include <iostream>
using namespace std;
#include <ctime>
// Eigen 부분
#include <Eigen/Core>
// 조밀한 행렬에 대한 대수 연산(역, 고유값 등)
#include <Eigen/Dense>
#define MATRIX_SIZE 50
/****************************
* 이 프로그램은 고유 기본 유형의 사용을 보여줍니다.
****************************/
int main( int argc, char** argv )
{
// Eigen의 모든 벡터와 행렬은 템플릿 클래스인 Eigen::Matrix입니다. 처음 세 개의 매개변수는 데이터 유형, 행, 열입니다.
// 2*3 float 행렬 선언
Eigen::Matrix<float, 2, 3> matrix_23;
// 동시에 Eigen은 typedef를 통해 많은 내장 유형을 제공하지만 맨 아래 계층은 여전히 Eigen::Matrix입니다.
// 예를 들어 Vector3d는 본질적으로 Eigen::Matrix<double, 3, 1>, 3차원 벡터입니다.
Eigen::Vector3d v_3d;
// 동일합니다.
Eigen::Matrix<float,3,1> vd_3d;
// Matrix3d는 본질적으로 Eigen::Matrix<double, 3, 3>
Eigen::Matrix3d matrix_33 = Eigen::Matrix3d::Zero(); //0으로 초기화
// 행렬 크기가 확실하지 않은 경우 동적으로 크기가 조정된 행렬을 사용할 수 있습니다.
Eigen::Matrix< double, Eigen::Dynamic, Eigen::Dynamic > matrix_dynamic;
// 간단하게 다음과 같이 표현할 수 있습니다.
Eigen::MatrixXd matrix_x;
// 이 유형에는 다른 많은 유형이 있습니다. 하나씩 나열하지는 않겠습니다.
// 다음은 고유 행렬에 대한 연산입니다.
// 입력 데이터(초기화)
matrix_23 << 1, 2, 3, 4, 5, 6;
// 출력
cout << matrix_23 << endl;
// ()를 사용하여 행렬의 요소에 액세스
for (int i=0; i<2; i++) {
for (int j=0; j<3; j++)
cout<<matrix_23(i,j)<<"\t";
cout<<endl;
}
// 행렬과 벡터 곱하기(실제로는 여전히 행렬과 행렬)
v_3d << 3, 2, 1;
vd_3d << 4,5,6;
// 그러나 Eigen에서는 두 가지 다른 유형의 행렬을 혼합할 수 없습니다. 이와 같은 것은 잘못된 것입니다.
// Eigen::Matrix<double, 2, 1> result_wrong_type = matrix_23 * v_3d;
// matrix_23은 float이기 때문에 double로 형변환
// 명시적으로 변환해야 합니다.
Eigen::Matrix<double, 2, 1> result = matrix_23.cast<double>() * v_3d;
cout << result << endl;
Eigen::Matrix<float, 2, 1> result2 = matrix_23 * vd_3d;
cout << result2 << endl;
// 또한 행렬의 차원을 잘못 얻을 수 없습니다.
// 다음의 주석을 제거하여 Eigen이 보고하는 오류를 확인하십시오.
// Eigen::Matrix<double, 2, 3> result_wrong_dimension = matrix_23.cast<double>() * v_3d;
// 일부 행렬 연산
// 네 가지 산술 연산은 시연되지 않으며 +-*/를 직접 사용하십시오.
matrix_33 = Eigen::Matrix3d::Random(); // 난수 행렬
cout << matrix_33 << endl << endl;
cout << matrix_33.transpose() << endl; // 반전
cout << matrix_33.sum() << endl; // 합
cout << matrix_33.trace() << endl; // 추적하다
cout << 10*matrix_33 << endl; // 곱셈
cout << matrix_33.inverse() << endl; // 역
cout << matrix_33.determinant() << endl; // Det()
// 고유값
// 실제 대칭 행렬은 성공적인 대각화를 보장합니다.
Eigen::SelfAdjointEigenSolver<Eigen::Matrix3d> eigen_solver ( matrix_33.transpose()*matrix_33 );
cout << "Eigen values = \n" << eigen_solver.eigenvalues() << endl;
cout << "Eigen vectors = \n" << eigen_solver.eigenvectors() << endl;
// 방정식 풀기
// 우리는 방정식 matrix_NN * x = v_Nd를 풉니다.
// N의 크기는 난수에 의해 생성되는 이전 명령어에서 정의됩니다.
// 직접 반전은 당연히 가장 직접적이지만 반전 계산량이 많습니다.
Eigen::Matrix< double, MATRIX_SIZE, MATRIX_SIZE > matrix_NN;
matrix_NN = Eigen::MatrixXd::Random( MATRIX_SIZE, MATRIX_SIZE );
Eigen::Matrix< double, MATRIX_SIZE, 1> v_Nd;
v_Nd = Eigen::MatrixXd::Random( MATRIX_SIZE,1 );
clock_t time_stt = clock(); // 타이밍
// 직접 반전
Eigen::Matrix<double,MATRIX_SIZE,1> x = matrix_NN.inverse()*v_Nd;
cout <<"time use in normal inverse is " << 1000* (clock() - time_stt)/(double)CLOCKS_PER_SEC << "ms"<< endl;
// 일반적으로 QR 분해와 같은 행렬 분해를 사용하여 속도가 훨씬 빠릅니다.
time_stt = clock();
x = matrix_NN.colPivHouseholderQr().solve(v_Nd);
cout <<"time use in Qr decomposition is " <<1000* (clock() - time_stt)/(double)CLOCKS_PER_SEC <<"ms" << endl;
return 0;
}
3.3 회전 벡터와 오일러 각
3.3.1 회전 벡터
- Rodrigues rotation fomula
- 3차원 회전변환을 4개의 값(회전축 벡터 + 회전각)만으로 표현
- https://darkpgmr.tistory.com/99 내용 참고

3.3.2 오일러
- 요우, 피치, 롤(yaw-pitch-roll)

- 짐벌락 현상
3.4 쿼터니언
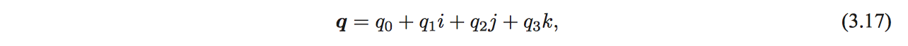
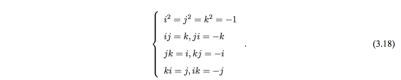
3.4.1 쿼터니언의 정의
- 쿼터니언





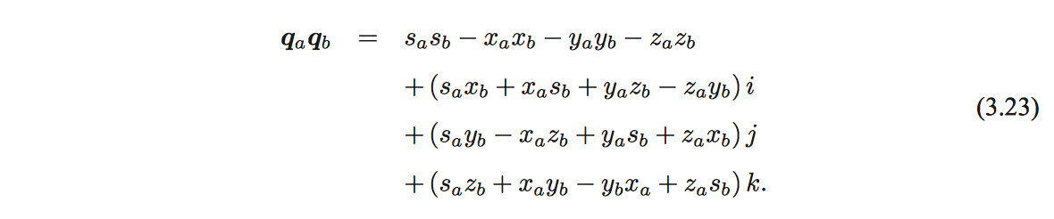
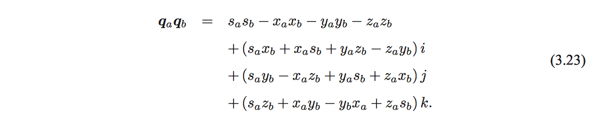
3.4.2 쿼터니언 연산

- 더하기 및 빼기

- 곱셈


- 켤레

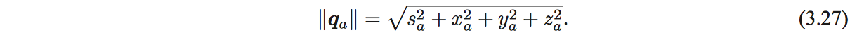
- 모듈 길이

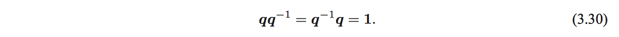
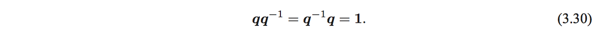
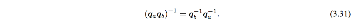
- 역함수



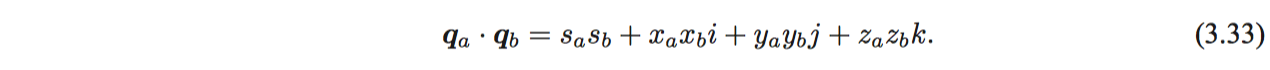
- 곱셈과 내적


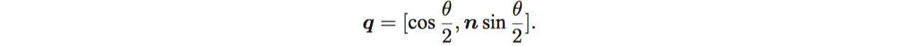
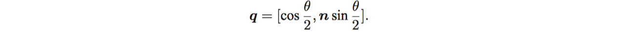
3.4.3 회전을 나타 내기 위해 쿼터니언을 사용
- 3차원 점 p가 회전하여 점 p`이 되었을 때 회전행렬을 이용해 나타내면 p`=Rp가 된다.
- 이를 쿼터니언으로 설명하면 다음과 같다.



3.4.4 쿼터니언에서 회전 행렬로 변환


3.5 유사, 아핀, 투영 변환
유클리드 변환은 벡터의 길이와 각도를 유지(모양 변경 x)
유클리드 변환 외의 변환은 모양을 바꾼다.
3.5.1 Similarity transform(유사 변환)
- x, y, z의 좌표를 균등하게 스케일 할 수 있는 배율 인수 s를 가진다.

3.5.2 Affine transform(아핀 변환)

3.5.3 Projective transform(투영 변환)
- 가장 일반적인 변환
- 실제 세계에서 카메라 사진으로의 변환은 투영 변환으로 볼 수 있다.


3.6 실습 : Eigen Geometry 모듈
주석이 중국어이기에 구글 번역으로 한국어로 변환한 코드를 올립니다.
#include <iostream>
#include <cmath>
using namespace std;
#include <Eigen/Core>
// 고유 기하학 모듈
#include <Eigen/Geometry>
/****************************
* 이 프로그램은 Eigen 기하학 모듈의 사용을 보여줍니다.
****************************/
int main ( int argc, char** argv )
{
// Eigen/Geometry 모듈은 다양한 회전 및 변환 표현을 제공합니다.
// 3D 회전 행렬은 Matrix3d 또는 Matrix3f를 직접 사용
Eigen::Matrix3d rotation_matrix = Eigen::Matrix3d::Identity();
// 회전 벡터는 AngleAxis를 사용합니다. 아래쪽 레이어는 직접적으로 Matrix가 아니지만 연산을 행렬로 사용할 수 있습니다(연산자가 오버로드되기 때문에).
Eigen::AngleAxisd rotation_vector ( M_PI/4, Eigen::Vector3d ( 0,0,1 ) ); //Z축을 따라 45도 회전
cout .precision(3);
cout<<"rotation matrix =\n"<<rotation_vector.matrix() <<endl; //matrix()를 사용하여 행렬로 변환
// 직접 할당 가능
rotation_matrix = rotation_vector.toRotationMatrix();
// AngleAxis를 사용하여 좌표 변환 수행
Eigen::Vector3d v ( 1,0,0 );
Eigen::Vector3d v_rotated = rotation_vector * v;
cout<<"(1,0,0) after rotation = "<<v_rotated.transpose()<<endl;
// 또는 회전 행렬 사용
v_rotated = rotation_matrix * v;
cout<<"(1,0,0) after rotation = "<<v_rotated.transpose()<<endl;
// 오일러 각도: 회전 행렬을 오일러 각도로 직접 변환할 수 있습니다.
Eigen::Vector3d euler_angles = rotation_matrix.eulerAngles ( 2,1,0 ); // ZYX 순서, 즉 롤 피치 요 순서
cout<<"yaw pitch roll = "<<euler_angles.transpose()<<endl;
// Eigen::Isometry를 사용한 유클리드 변환 행렬
Eigen::Isometry3d T=Eigen::Isometry3d::Identity(); //3d라고 하지만 실제로는 4*4의 행렬이다.
T.rotate ( rotation_vector ); // rotation_vector에 따라 회전
T.pretranslate ( Eigen::Vector3d ( 1,3,4 ) ); // 변환 벡터를 (1,3,4)로 설정
cout << "Transform matrix = \n" << T.matrix() <<endl;
// 좌표 변환에 변환 행렬 사용
Eigen::Vector3d v_transformed = T*v; // R*v+t와 같음
cout<<"v tranformed = "<<v_transformed.transpose()<<endl;
// 아핀 및 투영 변환의 경우 Eigen::Affine3d 및 Eigen::Projective3d를 약간 사용합니다.
// 쿼터니언
// 쿼터니언에 AngleAxis를 직접 할당할 수 있으며 그 반대도 가능합니다.
Eigen::Quaterniond q = Eigen::Quaterniond ( rotation_vector );
cout<<"quaternion = \n"<<q.coeffs() <<endl; // 계수의 순서는 (x, y, z, w)이고, w는 실수 부분이고 처음 세 개는 허수 부분입니다.
// 회전 행렬을 할당할 수도 있습니다.
q = Eigen::Quaterniond ( rotation_matrix );
cout<<"quaternion = \n"<<q.coeffs() <<endl;
// 쿼터니언을 사용하여 벡터를 회전하고 오버로드된 곱셈을 사용하십시오.
v_rotated = q*v; // 수학적으로 qvq^{-1}
cout<<"(1,0,0) after rotation = "<<v_rotated.transpose()<<endl;
return 0;
}
'SLAM' 카테고리의 다른 글
| 리 군과 리 대수(Lie Group, Lie Algebra) (0) | 2024.01.18 |
|---|---|
| 입문 Visual SLAM 제 6장 실습 코드 중국어 주석 번역 (0) | 2022.12.05 |
| 입문 Visual SLAM 제 5장 실습 코드 중국어 주석 번역 (2) | 2022.12.01 |
| 입문 Visual SLAM 제 4장 실습 코드 중국어 주석 번역 (0) | 2022.12.01 |
| SLAM 개발자를 위한 공부 - 1 (0) | 2022.10.24 |